https://www.acmicpc.net/problem/11051
11051번: 이항 계수 2
첫째 줄에 \(N\)과 \(K\)가 주어진다. (1 ≤ \(N\) ≤ 1,000, 0 ≤ \(K\) ≤ \(N\))
www.acmicpc.net
import java.util.*;
import java.io.*;
public class Main {
static BufferedReader br=new BufferedReader(new InputStreamReader(System.in));
static BufferedWriter bw=new BufferedWriter(new OutputStreamWriter(System.out));
static StringBuilder sb=new StringBuilder();
static int[][] combi;
public static void main(String args[]) throws Exception {
String s[]=br.readLine().split(" ");
int n=Integer.parseInt(s[0]);
int k=Integer.parseInt(s[1]);
combi=new int[n+1][n+1];
combi[0][0]=combi[1][0]=combi[1][1]=1;
for(int i=2;i<=n;i++) {
for(int j=0;j<=i&&j<=k;j++) {
if(j==0||i==j) combi[i][j]=1;
else combi[i][j]=combi[i-1][j-1]+combi[i-1][j];
combi[i][j]%=10007;
}
}
System.out.println(combi[n][k]);
}
}
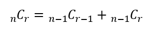
이 문제 같은 경우는 조합의 공식 중 하나를 사용했습니다.

바로 이 공식인데요, 조합에 대한 이중 배열을 선언한 이후에, nCk 값을 구할 때까지 1C1부터 n과 k의 값을 증가시켜가면서 값을 구했습니다.
이 문제를 풀 때 처음에는 재귀 함수를 이용해서 아래와 같이 문제를 풀었었는데요, 아래 풀이의 경우는 시간 초과 문제가 생겨버렸기 때문에 위의 이중 배열을 사용하는 방법을 추천드립니다.
//시간 초과
import java.util.*;
import java.io.*;
public class Main {
static BufferedReader br=new BufferedReader(new InputStreamReader(System.in));
static BufferedWriter bw=new BufferedWriter(new OutputStreamWriter(System.out));
static StringBuilder sb=new StringBuilder();
public static void main(String args[]) throws Exception {
String s[]=br.readLine().split(" ");
int n=Integer.parseInt(s[0]);
int k=Integer.parseInt(s[1]);
System.out.println(combi(n, k));
}
public static int combi(int n, int k) {
if(k==0) return 1;
else if(n==k) return 1;
else return (combi(n-1, k-1)+combi(n-1, k))%10007;
}
}'프로그래밍 문제 > BOJ(백준 온라인 저지)' 카테고리의 다른 글
| [BOJ 2609번] 최대공약수와 최소공배수(JAVA) (feat. 유클리드 호제법) (0) | 2020.08.14 |
|---|---|
| [BOJ 1037번] 약수(JAVA) (0) | 2020.08.14 |
| [BOJ 11050번] 이항 계수 1(JAVA) (0) | 2020.08.10 |
| [BOJ 1931번] 회의실 배정(JAVA) (0) | 2020.08.08 |
| [BOJ 11047번] 동전 0(JAVA) (0) | 2020.08.08 |