https://www.acmicpc.net/problem/11050
11050번: 이항 계수 1
첫째 줄에 \(N\)과 \(K\)가 주어진다. (1 ≤ \(N\) ≤ 10, 0 ≤ \(K\) ≤ \(N\))
www.acmicpc.net
import java.util.*;
import java.io.*;
public class Main {
static BufferedReader br=new BufferedReader(new InputStreamReader(System.in));
static BufferedWriter bw=new BufferedWriter(new OutputStreamWriter(System.out));
static StringBuilder sb=new StringBuilder();
public static void main(String args[]) throws Exception {
String s[]=br.readLine().split(" ");
int n=Integer.parseInt(s[0]);
int k=Integer.parseInt(s[1]);
System.out.println(combi(n, k));
}
public static int combi(int n, int k) {
int temp1=1;
for(int i=n;i>n-k;i--) {
temp1*=i;
}
int temp2=1;
for(int i=k;i>=1;i--) {
temp2*=i;
}
return temp1/temp2;
}
}
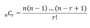
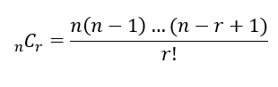
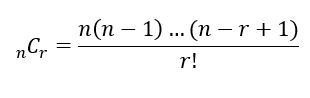
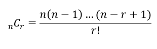
고등학교 확률과 통계 시간 때 배웠던 조합을 구하는 문제입니다.

조합의 공식이 이러하므로 이를 함수로 구현한 것이 combi 함수입니다.
이를 이용해 값을 구해주면 됩니다.
'프로그래밍 문제 > BOJ(백준 온라인 저지)' 카테고리의 다른 글
| [BOJ 1037번] 약수(JAVA) (0) | 2020.08.14 |
|---|---|
| [BOJ 11051번] 이항 계수 2(JAVA) (0) | 2020.08.10 |
| [BOJ 1931번] 회의실 배정(JAVA) (0) | 2020.08.08 |
| [BOJ 11047번] 동전 0(JAVA) (0) | 2020.08.08 |
| [BOJ 12865번] 평범한 배낭(JAVA) (0) | 2020.08.08 |