https://www.acmicpc.net/problem/2004
2004번: 조합 0의 개수
첫째 줄에 정수 n, m(0≤m≤n≤2,000,000,000, n!=0)이 들어온다.
www.acmicpc.net
import java.util.*;
import java.io.*;
public class Main {
static BufferedReader br=new BufferedReader(new InputStreamReader(System.in));
static BufferedWriter bw=new BufferedWriter(new OutputStreamWriter(System.out));
static StringBuilder sb=new StringBuilder();
static int[] number;
public static void main(String args[]) throws Exception {
String s[]=br.readLine().split(" ");
long n=Long.parseLong(s[0]);
long m=Long.parseLong(s[1]);
if(n==m||m==0) {
System.out.println(0);
return;
}
int numberof2=0, numberof5=0;
for(long i=2;i<=n;i*=2) {
numberof2+=n/i;
}
for(long i=2;i<=m;i*=2) {
numberof2-=m/i;
}
for(long i=2;i<=n-m;i*=2) {
numberof2-=(n-m)/i;
}
for(long i=5;i<=n;i*=5) {
numberof5+=n/i;
}
for(long i=5;i<=m;i*=5) {
numberof5-=m/i;
}
for(long i=5;i<=n-m;i*=5) {
numberof5-=(n-m)/i;
}
// for(long i=2;i<=n;i++) {
// long temp=i;
// while(true) {
// if(temp%2==0) {
// numberof2++;
// temp/=2;
// }
// else if(temp%5==0) {
// numberof5++;
// temp/=5;
// }
// else break;
// }
// }
// for(long i=1;i<=m;i++) {
// long temp=i;
// while(true) {
// if(temp%2==0) {
// numberof2--;
// temp/=2;
// }
// else if(temp%5==0) {
// numberof5--;
// temp/=5;
// }
// else break;
// }
// }
// for(long i=1;i<=n-m;i++) {
// long temp=i;
// while(true) {
// if(temp%2==0) {
// numberof2--;
// temp/=2;
// }
// else if(temp%5==0) {
// numberof5--;
// temp/=5;
// }
// else break;
// }
// }
long result=Math.min(numberof2, numberof5);
System.out.println(result);
}
}
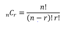
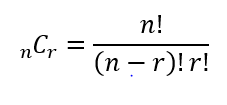
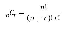
조합(Combination) 공식은 아래와 같습니다.

앞선 1676번 문제에서 팩토리얼 0의 개수 구하기 문제에서 사용했던 방법과 비슷하게 접근할 수 있습니다.
https://eloquence-developers.tistory.com/56
[BOJ 1676번] 팩토리얼 0의 개수(JAVA)
https://www.acmicpc.net/problem/1676 1676번: 팩토리얼 0의 개수 N!에서 뒤에서부터 처음 0이 아닌 숫자가 나올 때까지 0의 개수를 구하는 프로그램을 작성하시오. www.acmicpc.net import java.util.*; import..
eloquence-developers.tistory.com
분자 부분의 n!의 2와 5의 소인수의 개수를 구해 10의 소인수의 개수를 구하고, 분모 부분의 (n-r)!과 r!에서 2와 5의 소인수의 개수를 구해 10의 소인수의 개수를 뺴주면 0의 개수를 구할 수 있습니다.
그래서 numberof2에 1부터 n까지 2의 몇 제곱인지를 구해서 numberof2에 더하고, 1부터 n-r과 1부터 r까지 2의 몇 제곱인지를 구해서 numberof2에서 빼면 nCr이 2이 몇 제곱인지를 구합니다.
비슷한 방식으로 numberof5에 n!에서 1부터 n까지 5의 몇 제곱인지를 구해 numberof5에 더하고, 1부터 n-r과 1부터 r까지 5의 몇제곱인지를 구해서 numberof5에서 빼서 nCr이 5의 몇 제곱인지를 구합니다.
이를 통해 numberof2와 numberof5 중 작은 값이 10의 몇 제곱인지 이므로, 이 것이 0의 개수가 됩니다.
처음에 제가 주석 처리를 해놓은 코드로 풀었는데 시간 초과가 발생해서 주석처리가 되지 않은 부분으로 풀어야합니다.
'프로그래밍 문제 > BOJ(백준 온라인 저지)' 카테고리의 다른 글
| [BOJ 10830번] 행렬 제곱 (0) | 2020.09.01 |
|---|---|
| [BOJ 2740번] 행렬 곱셈(JAVA) (0) | 2020.08.30 |
| [BOJ 1676번] 팩토리얼 0의 개수(JAVA) (0) | 2020.08.14 |
| [BOJ 2609번] 최대공약수와 최소공배수(JAVA) (feat. 유클리드 호제법) (0) | 2020.08.14 |
| [BOJ 1037번] 약수(JAVA) (0) | 2020.08.14 |